CCAMLR Science Toolbox

Logo

www.ccamlr.org

Biological Parameters Estimation – R scripts

Age at maturity

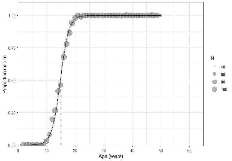
Uses a logit-link binomial model to estimate age at 50% maturity.

Download R script

Figure 1. Example of fitted logit-link binomial model to estimate age at 50% maturity. Dotted lines indicate the point in the model where 50% of individuals are estimated to be mature, and the corresponding age. Size of the points indicates the number of individuals of that age in the data set.




Bayesian VBGF

Uses a Bayesian approach (using stan via brms) to fit a von Bertallanfy growth function (VBGF). Includes diagnostic plots and functions.

Download R script

Figure 2. Example of a fitted VBGF on combined sex data. Blue = males, red = females.


Figure 3. Example of diagnostic plots for the L_inf variable in the fitted VBGF. Top left = density plot, top right = trace plot, bottom = autocorrelation function barplot.




Length Weight

Fits an exponential curve to length-weight data.

Download R script

Figure 4. Example of fitted exponential curve to length-weight data.